Choose the correct answer:
In a process-focused or process-centric organization, a formal governing body that oversees enterprise processes should also do what?
Answer : C
Choose the correct answer:
What does a notation with clear semantics provide for a model?
Answer : C
Choose the correct answer:
Which elements of the Business Motivation Model (BMM) govern Courses of Action?
Answer : A
Choose the correct answer:
Even though models are abstractions, which test must they meet?
Answer : C
Choose the correct answer:
According to the Business Motivation Model (BMM), what are the parts of a Mission statement?
Answer : C
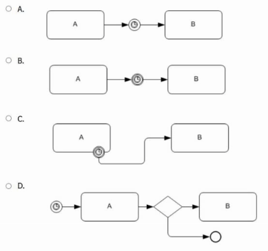
Choose the correct answer:
Which diagram could mean after completing task A, wait one hour before starting task B?

Answer : A
Choose the correct answer:
In the BMM, a Business Rule is a component of which concept?
Answer : D