Consider the diagram:

(A diagram showing X, Y, and Z connected to Financial Processing using black diamonds.)
Which of the following is the correct description of the diagram?
Answer : A
Comprehensive and Detailed In-Depth
The black diamond notation in ArchiMate represents a Composition relationship, which is used to indicate whole-part relationships between elements.
Financial Processing is the whole (parent element).
X, Y, and Z are sub-functions, meaning they are part of Financial Processing.
Composition is a strong relationship, meaning the sub-functions (X, Y, and Z) do not exist independently outside Financial Processing.
Analysis of Answer Choices:
A. The financial processing function is composed of three sub-functions X, Y, and Z. Correct Answer
Composition relationships in ArchiMate indicate that one element is part of another in a strict, whole-part hierarchy.
ArchiMate 3.2 Specification, Section 6.4.2, defines Composition as a structural relationship where the child elements belong strictly to the parent.
Since Financial Processing contains X, Y, and Z as integral sub-functions, this is the correct choice.
B. The financial processing function aggregates the three sub-functions X, Y, and Z. Incorrect
Aggregation is a weaker relationship in ArchiMate compared to Composition.
In Aggregation, the sub-functions can exist independently, whereas in Composition, they cannot.
ArchiMate 3.2 Specification, Section 6.4.1, states that Aggregation does not enforce a strict whole-part relationship like Composition does.
C. The financial processing function is influenced by the three sub-functions X, Y, and Z. Incorrect
Influence relationships in ArchiMate do not represent whole-part structures.
Influence is a motivation relationship, meaning it represents an impact or effect, not a structural dependency.
D. The financial processing function is assigned the three sub-functions X, Y, and Z. Incorrect
Assignment relationships are used to indicate that a behavior element (e.g., function, process) is performed by an active structure element (e.g., role, actor, component).
This diagram does not depict an assignment relationship; instead, it shows a structural composition.
Final Answer: A. The financial processing function is composed of three sub-functions X, Y, and Z.
ArchiMate 3.2 Specification: Sections 6.4.2 (Composition), 6.4.1 (Aggregation), and 6.5 (Influence & Assignment).
Complete the sentence. In the Motivation elements metamodel, a principle __.
Answer : B
Comprehensive and Detailed in Depth
A Principle in ArchiMate is a high-level guideline that directs decision-making and architecture development. It is a specialization of a Constraint, meaning that it restricts behavior in a way that aligns with organizational goals.
The ArchiMate 3.2 Specification describes Principles as specific constraints that apply to enterprise architecture and governance.
Archi User Guide
ArchiMate 3.2 Specification
What application layer element would you use to define a point of access where an application service is made available to a user?
Answer : D
Comprehensive and Detailed in Depth
An Application Interface in ArchiMate represents a point of access where an Application Service is exposed to users or other applications.
Application Interfaces define how users or other software components interact with an Application Service. This is clearly defined in the ArchiMate 3.2 Specification, which states that an Application Interface provides access to an Application Service.
Archi User Guide
What element type is denoted by the symbol below using the standard notation conventions?

Answer : B
According to the standard notation conventions, a structure element is denoted by a rectangle with rounded corners. A structure element represents an entity that has a state and exhibits some behavior. Examples of structure elements are actors, roles, components, nodes, and objects.
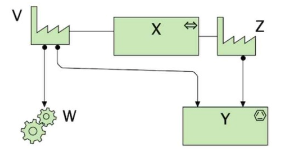
Consider the diagram:

(A diagram showing V, W, X, and Y where:
V has a factory-like symbol.
W has a gear-like symbol.
X is connected to Y, which has a transportation-related symbol.)
What are elements V, W, and X?
Answer : D
Comprehensive and Detailed In-Depth
This ArchiMate Physical Layer diagram represents logistics and supply chain operations. The elements in the diagram align with physical infrastructure concepts used in ArchiMate 3.2.
Understanding the Diagram Elements:
V (Factory symbol) Represents a Factory or Production Facility, where goods are manufactured.
W (Gear symbol) Represents Raw Material or Equipment that is used in production.
X (Network or Transportation symbol) Represents Transportation or a Distribution network for moving goods.
Y (End-point receiving goods) Represents a logistics center, warehouse, or transportation endpoint.
This matches option D, where:
V = Factory The starting point of manufacturing.
W = Raw material Essential input for production.
X = Transportation Moving products to distribution centers.
Analysis of Answer Choices:
A. V = Production process, W = Finished Material, X = Transport network Incorrect
V is not a process; it is a physical location (Factory).
W represents raw material, not finished material.
X represents transportation, but V is wrongly classified as a process.
B. V = Equipment, W = Facility, X = Distribution channel Incorrect
V represents a Facility (Factory), not just Equipment.
W represents raw material, not a Facility.
X is more of a transportation network rather than a distribution channel.
C. V = Facility, W = Equipment, X = Distribution network Incorrect
W represents raw material, not just Equipment.
X represents Transportation, not strictly a distribution network.
D. V = Factory, W = Raw material, X = Transportation Correct Answer
This is the best match with the diagram's physical elements.
V (Factory) is the production source.
W (Raw material) is used in production.
X (Transportation) is the means of moving goods.
ArchiMate 3.2 Specification, Section 7.7, defines Facilities, Materials, and Transportation as part of the Physical Layer modeling concepts.
Final Answer: D. V = Factory, W = Raw material, X = Transportation.
ArchiMate 3.2 Specification: Sections 7.7 (Facilities & Physical Elements), 7.8 (Material Flow), and 7.9 (Distribution & Logistics).
Complete the sentence. According to the top-level hierarchical structure of the ArchiMate Language, a model is considered to be __.
Answer : A
Comprehensive and Detailed in Depth
An ArchiMate model consists of a structured collection of concepts that represent enterprise architecture. These concepts include active structure, behavior, and passive structure elements, along with their relationships.
A model is not just a set of elements or relationships, but rather a conceptual framework that represents an enterprise architecture holistically.
The ArchiMate 3.2 Specification states that an ArchiMate model is a collection of interrelated concepts that define and describe enterprise architectures.
Archi User Guide
ArchiMate 3.2 Specification
Which of the following is a composite element?
Answer : A
This is because a grouping is a composite element that aggregates or groups other elements based on some common characteristic or purpose. A course of action is a motivation element that represents an approach or plan for achieving some goal. An aggregation is a structural relationship that models the whole-part hierarchy between elements. A contract is a passive structure element that represents a formal or informal specification of an agreement between a provider and a consumer that specifies the rights and obligations associated with a product or service.
ased on the ArchiMate 3 documents or objectives, a grouping is a composite element that consists of other concepts, from one or more aspects or layers of the ArchiMate language. A grouping can be used to model a logical or physical grouping of elements that belong together based on some criteri
a. A grouping can itself aggregate or compose other groupings, leading to a hierarchy of these elements.